Avoid seed oils
The main problem with most seed oils, including canola, safflower, soybean, corn, sunflower, and cottonseed oils, is not they contain microplastics, though they do.1 It’s not that they contain tiny amounts of residual chemical solvents like hexane, though they do.2 And it’s not that they contain tiny amounts of artery-clogging trans fats, though they do.3
It’s not they are oxidized and rancid by the time they get into the bottle, as many animal-based diet advocates like to claim. They are not.4 And, it’s not that they are inherently inflammatory, as many animal-based diet advocates like to claim. Again, they are not.5
The main problem with seed oils is that most of them contain excessive amounts of a particular type of omega-6 polyunsaturated fat (PUFA) called linoleic acid (LA), which accumulates in your body. This, in and of itself, does not cause inflammation. Rather, it increases your vulnerability to inflammation.
Why do PUFAs like LA increase this vulnerability, as opposed to other fats? The key is a particular carbon that is contained only in polyunsaturated fats. You can see it in the diagram below. The carbon I am talking about is the one located between the two carbons that are connected to double bonds (arrow). This carbon is prone to oxidation during times of oxidative stress. When it becomes oxidized, it makes the fat unstable. When the unstable fat breaks down, it produces toxic byproducts. These toxic byproducts are what actually cause the inflammation, directly damaging your cell membranes, damaging your proteins, and even damaging your DNA.
“Okay, but all I have to do is avoid things that cause oxidative stress. Then there is no need to worry about excess PUFAs, right?”
Well, you would have to avoid air pollution6 and heavy metals.7 So no living in most cities, and no driving in traffic, and no consuming things like seafood, rice, certain nuts and seeds, chocolate, or coffee, all of which contain significant amounts of heavy metals. And actually you’d have to avoid eating altogether, because digestion and metabolism itself increases oxidative stress.8 And you better make sure you don’t come down with a cold, or the flu, or any other kind of infection.9 And you probably shouldn’t exercise either, especially intense forms of exercise.10 Lastly, you should avoid growing older, because oxidative stress gets much worse with age.11 In other words, you should avoid life, because life causes oxidative stress.
“But, wait a minute. I heard that LA is an essential fatty acid, and that the body needs it to keep all of its membranes nice and fluid.”
This is true. In fact, you will die if you do not consume LA. But, as it turns out, the amount of LA that your body needs is actually quite small,12 only a small fraction of what is found in the average modern day seed oil-consuming human:13
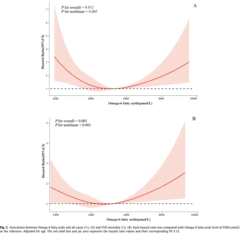
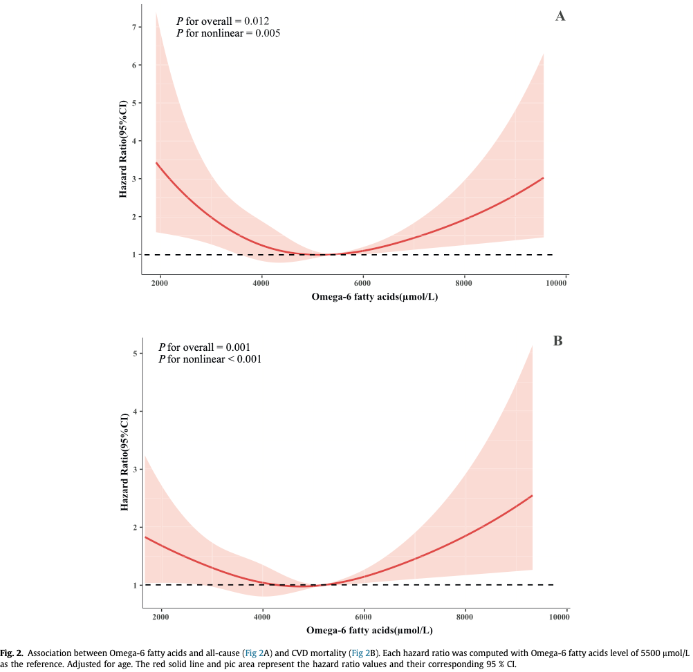
Furthermore, as with most nutrients, omega-6 PUFAs have a U-shaped curve when it comes to associations with all-cause and cardiovascular mortality:14
“Okay, if excess PUFAs are an oxidative liability, how about if I just increase the amount of antioxidants in my diet?”
It is true that antioxidants can be very helpful in this regard, and such a plan might work in the short term, but it is unlikely to work in the long term, for the reason just stated. Linoleic acid gradually builds up in your body with a half-life of about two years.15 Antioxidants do not accumulate to nearly the same degree. The former will eventually outweigh the latter.
“But what about all the papers linking higher amounts of PUFA consumption to lower rates of heart disease, the number one killer of mankind? Aren’t these studies where the rubber meets the road?”
Advocates for a plant-based diet love to present these papers, especially the observational and interventional studies that compare PUFA consumption with saturated fat consumption. All of these studies suffer from one or more of the following major limitations:
Healthy/unhealthy user bias. We live in a world where saturated fat has been demonized for many years. Those who consume more of it are more likely to engage in a number of unhealthy behaviors, like smoking, drinking excess alcohol, being sedentary, not seeing their doctor, lower socioeconomic status, etc., and, most importantly, they are more likely to be overweight. Look at the “baseline characteristics” section of any of these studies and you will see that this is true. Even if controlled for, these unhealthy risk factors are so dominant that they always bleed through the statistics.
No distinction as to the source of PUFA. PUFAs in actual nuts and seeds are part of a natural food matrix, have corresponding amounts of vitamins and minerals, are absorbed more slowly, are generally not consumed in excess, and are almost universally associated with good health in research studies. These PUFAs should not be conflated with PUFAs from seed oils.
The problem of other dietary components. We live in a world where saturated fats are often consumed in the form of meat that is served on a refined grain bun, slathered in sugary condiments, and washed down with a sugary drink. Likewise, PUFAs are often consumed in the form of ultraprocessed refined grain foods, or deep-fried foods. Thus, it becomes more of a contest of which fat happens to be served with the least healthy counterparts, rather than a contest of the fats themselves.
A matter of threshold. Some studies have actually used fat tissue biopsies to look at the amount of PUFA accumulated in the body and compared that level to heart disease risk.16 Unfortunately these studies have the same problems as I just listed above, and moreover, none of them was performed recently enough to assess current PUFA levels, which have increased dramatically.
Beyond the above-described limitations, there is also the following teleological argument:
Obesity is one of the greatest risk factors for cardiovascular disease.
Because of the higher oxidative vulnerability of PUFAs, the body is smart enough to preferentially burns these fats.17
Because of the lower oxidative vulnerability of saturated and monounsaturated fats, the body is smart enough to store these fats for a rainy day.
Therefore, in the context of excessive calorie consumption and obesity, i.e. in the context of most of the modern world, saturated fats will be more of a liability than PUFAs because they are more likely to contribute to obesity.
However, in the context of normal calorie consumption and normal body weight, i.e. in the context of most of human history prior to 75 years ago, i.e. in the context of the form in which we were created to exist, saturated fats will be less of a liability than PUFAs because of their lower oxidative vulnerability.
For a deeper dive into all things PUFA and heart disease, check out the various posts and videos by Chris Masterjohn, PhD, who also discusses the importance of maintaining adequate vitamin E levels during the transition from a higher to a lower PUFA diet.1819
Lastly, one should consider the perspective that there is more to life than not dying of heart disease. There is also the issue of vitality. High linoleic acid seed oils have been associated with higher rates of cognitive decline,202122 and lower levels of testosterone,232425 two things I personally hope to avoid for as long as possible. Excessive intake of omega-6 fats is also associated with increased risk of sunburn and skin cancer.26272829
So what’s the bottom line? I recommend removing high linoleic acid seed oils completely from your diet. If you need a dressing for your salad or vegetables, use a certified extra virgin olive oil or a cold-pressed high oleic sunflower oil. Don’t use avocado oils. They are almost universally rancid.30 For baking, use virgin coconut oil. For low temperature sautéing, use extra virgin olive oil, virgin coconut oil, or beef tallow. As far as deep-fried foods, I recommend eliminating them from your diet. But if you do eat them, it is better that they are fried in animal fats, which are much less likely to oxidize or create toxic degradation products compared to seed oils.31
https://pubmed.ncbi.nlm.nih.gov/38295567/
https://openaccesspub.org/experimental-and-clinical-toxicology/article/622
https://www.sciencedirect.com/science/article/abs/pii/S0889157524005830
https://pmc.ncbi.nlm.nih.gov/articles/PMC8767382/
https://pubmed.ncbi.nlm.nih.gov/22889633/
https://pmc.ncbi.nlm.nih.gov/articles/PMC3155788/
https://pubmed.ncbi.nlm.nih.gov/15892631/
https://www.sciencedirect.com/science/article/pii/S0022316622101744
https://pmc.ncbi.nlm.nih.gov/articles/PMC5309413/
https://www.sciencedirect.com/science/article/pii/S2095254620300399
https://www.mdpi.com/2076-3921/12/3/651
https://pmc.ncbi.nlm.nih.gov/articles/PMC5492028/
https://pmc.ncbi.nlm.nih.gov/articles/PMC4642429/
https://pubmed.ncbi.nlm.nih.gov/39894349/
https://pubmed.ncbi.nlm.nih.gov/5900208/
https://www.ahajournals.org/doi/10.1161/CIRCULATIONAHA.118.038908
https://pubmed.ncbi.nlm.nih.gov/11010930/
chrismasterjohnphd.substack.com/p/204-why-do-vitamin-e-requirements
https://pmc.ncbi.nlm.nih.gov/articles/PMC4594047/
https://pubmed.ncbi.nlm.nih.gov/31909187/
https://www.nature.com/articles/s41598-017-17373-3
https://pmc.ncbi.nlm.nih.gov/articles/PMC10054310/
https://pubmed.ncbi.nlm.nih.gov/17220937/
https://pubmed.ncbi.nlm.nih.gov/19130109/
https://pubmed.ncbi.nlm.nih.gov/9029197/
https://pubmed.ncbi.nlm.nih.gov/12511046/
https://pmc.ncbi.nlm.nih.gov/articles/PMC6035072/
https://pubmed.ncbi.nlm.nih.gov/3110746/
https://pubmed.ncbi.nlm.nih.gov/21525235/
https://www.sciencedirect.com/science/article/pii/S0956713523002372
https://conservancy.umn.edu/server/api/core/bitstreams/607f212c-5c15-408e-b29b-a84e88bd7528/content





Idk if i agree about some of these points. People say coconut oil helps with weight loss. Carnivore diet also.
As for lineoleic acid being the man problem, it is not high in all seeds so let's not talk about seed oils bad if the main idea is LA. Coconut is a seed and it has only 2% LA. Chicken fat is 25% LA. Flax oil is 10-17%.
And according to Perplexity Pro, seed oils are oxidized during the refining process so I am interested in learning more about virgin seed oils and what we really know, if anything, from for example Tahini consumption. Sesame seeds are high in LA, but yet Tahini is known for making people fatter and also healthier: https://www.perplexity.ai/search/are-there-any-studies-on-tahin-koBjgk66T9iwW..Z9CIIzA
The studies are interesting to consider sometimes but just look at who is healthy in general and eat like them, maybe it will work for you, if not find some other healthy people and eat like them. We have different needs depending on our DNA.